Question 1
The apparatus is set up to measure the rate of transpiration. As transpiration occurs from the leafy shoot, water is drawn through the apparatus and is measured by timing the movement of the air bubble along the capillary tube.

Which variable(s) must be controlled if transpiration rates are compared in different plant species?
I. Total leaf surface area
II.Volume of water in the reservoir
III. Room temperature
A. I only
B. III only
C. I and III only
D. I, II and III
Easy
Mark as Complete
Mark Scheme
Question 2
Which is an adaptation to increase rates of gas exchange in the lung?
A. Small surface area
B. Dry surface
C. High vascularization
D. Muscular alveoli
Easy
Mark as Complete
Mark Scheme
Question 3
Pressure changes inside the thorax cause the movement of air in and out of the lung alveoli during ventilation. Alveolar pressure correlates to thoracic pressure. The diagram shows pressure changes in lung alveoli during ventilation in relation to normal atmospheric pressure. What causes forced movement of air out of the lungs at T?

| A. | external intercostal muscles contract | diaphragm relaxes |
| B. | internal intercostal muscles contract | abdominal muscles contract |
| C. | internal intercostal muscles contract | diaphragm contracts |
| D. | external intercostal muscles relax | abdominal muscles relax |
Medium
Mark as Complete
Mark Scheme
Question 4
What occurs during inhalation?
| External intercostal muscles | Movement of ribs | |
| A. | relax | fall |
| B. | contract | fall |
| C. | relax | rise |
| D. | contract | rise |
Easy
Mark as Complete
Mark Scheme
Question 5
Which graph represents the effect of humidity on the transpiration rate in plants?

Easy
Mark as Complete
Mark Scheme
Question 6
Explain how breathing is controlled by the brain. [6]
Medium
Mark as Complete
Mark Scheme
Question 7
Outline the process of inhalation. [4]
Medium
Mark as Complete
Mark Scheme
Question 8
Explain how gases are exchanged between the air in the alveolus and the blood in the capillaries. [3]
Medium
Mark as Complete
Mark Scheme
Question 9
A study was conducted on `25`healthy, non-smoking males to look at the effect of exercise and altitude on ventilation rate. Subjects were first asked to rest in a sitting position for six minutes. They then pedaled for three periods of six minutes at increasing exercise intensity: at `20%`, `30%` and `40%` of their maximal aerobic power. The entire study was conducted either in normal sea level oxygen conditions or in lower oxygen conditions simulating an altitude of `4000` m. The results are shown in the bar chart.

[Source: E Hermand, et al., (2015), Periodic breathing in healthy humans at exercise in hypoxia, Journal of Applied Physiology, 118, pages 115–123. https://doi.org/10.1152/japplphysiol.00832.2014]
Compare and contrast the effect of increasing exercise intensity at sea level and at an altitude of `4000` m. [2]
Medium
Mark as Complete
Mark Scheme
Question 10
Explain how ventilation and lung structure contribute to passive gas exchange. [7]
Hard
Mark as Complete
Mark Scheme
Question 1
The apparatus is set up to measure the rate of transpiration. As transpiration occurs from the leafy shoot, water is drawn through the apparatus and is measured by timing the movement of the air bubble along the capillary tube.

Which variable(s) must be controlled if transpiration rates are compared in different plant species?
I. Total leaf surface area
II.Volume of water in the reservoir
III. Room temperature
A. I only
B. III only
C. I and III only
D. I, II and III
Answer: C
A. Incorrect. (I) need to be controlled because the more area the leaves have, the more water loss. However (III) should be controlled as well because temperature affects evaporation and stomatal opening, with higher temperature leading to higher water loss.
B. Incorrect. (III) needs to be controlled because temperature affects evaporation and stomatal opening, with higher temperature leading to higher water loss. However, (I) need to be controlled as well because the more area the leaves have, the more water loss.
C. Correct. Both (I) and (III) are important. (I) need to be controlled because the more area the leaves have, the more water loss. (III) needs to be controlled because temperature affects evaporation and stomatal opening, with higher temperature leading to higher water loss.
D. Incorrect. Both (I) and (III) are important. (I) need to be controlled because the more area the leaves have, the more water loss. (III) needs to be controlled because temperature affects evaporation and stomatal opening, with higher temperature leading to higher water loss. However, (II) does not need to be controlled because the reservoir just supplies water and maintains a continuous water column. The actual volume does not affect transpiration rate, as long as it’s sufficient to prevent air entering the system.
Question 2
Which is an adaptation to increase rates of gas exchange in the lung?
A. Small surface area
B. Dry surface
C. High vascularization
D. Muscular alveoli
Answer: C
A. Incorrect. A large surface area (many alveoli) increases gas exchange; small area would reduce it.
B. Incorrect. Gas exchange requires gases to dissolve in moisture on the alveolar surface. A dry surface would prevent diffusion.
C. Correct. Alveoli are surrounded by a dense network of capillaries, ensuring a steep diffusion gradient by rapidly carrying oxygen away and bringing `CO₂` in. This maximizes the rate of gas exchange.
D. Incorrect. Alveoli do not contain muscle fibers; they rely on elastic tissue for passive recoil during breathing, not active contraction.
Question 3
Pressure changes inside the thorax cause the movement of air in and out of the lung alveoli during ventilation. Alveolar pressure correlates to thoracic pressure. The diagram shows pressure changes in lung alveoli during ventilation in relation to normal atmospheric pressure. What causes forced movement of air out of the lungs at T?

| A. | external intercostal muscles contract | diaphragm relaxes |
| B. | internal intercostal muscles contract | abdominal muscles contract |
| C. | internal intercostal muscles contract | diaphragm contracts |
| D. | external intercostal muscles relax | abdominal muscles relax |
Answer: B
A. Incorrect. External intercostal muscles lift the ribs up and out, increasing thoracic volume, helping inhalation, not exhalation.
B. Correct. Internal intercostal muscles pull the ribs down and in, reducing chest volume. Abdominal muscles contract, pushing the diaphragm upward and compressing the lungs further. Both actions reduce thoracic volume and raise alveolar pressure, forcing air out.
C. Incorrect. Internal intercostal muscles pull the ribs down and in, reducing chest volume. However, diaphragm contracts, moving downward, increasing thoracic volume (inhalation). The two muscles act in opposite directions.
D. Incorrect. External intercostals relax meaning passive exhalation.
Question 4
What occurs during inhalation?
| External intercostal muscles | Movement of ribs | |
| A. | relax | fall |
| B. | contract | fall |
| C. | relax | rise |
| D. | contract | rise |
Answer: D
A. Incorrect. When external intercostals relax, ribs move down and in, reducing thoracic volume, meaning exhalation, not inhalation.
B. Incorrect. Contraction of external intercostals always lifts the ribs. The ribs cannot fall when these muscles contract.
C. Incorrect. Relaxation means no active lifting. If the muscles relax, ribs naturally fall due to gravity and elastic recoil.
D. Correct. During inhalation, external intercostals contract, pulling ribs up and out. This increases thoracic cavity volume and decreases internal pressure, so air flows into the lungs.
Question 5
Which graph represents the effect of humidity on the transpiration rate in plants?

Answer: A
A. Correct. When humidity is high, the air already contains more water vapor, reducing the concentration gradient for water diffusion out of the leaf, slowing down transpiration.
B. Incorrect. This shows transpiration rate quickly rising, then remaining constant despite changes in humidity. Transpiration does not plateau; it continues to decrease as humidity increases.
C. Incorrect. This shows transpiration rate increasing with humidity, imply that moist air increases evaporation, which is false. When humidity is high, the air already contains more water vapor, reducing the concentration gradient for water diffusion out of the leaf, slowing down transpiration.
D. Incorrect. This shows transpiration rate first increasing then decreasing as humidity rises. However, there is no initial rise; increasing humidity consistently reduces transpiration.
Question 6
Explain how breathing is controlled by the brain. [6]
Six of the following:
a. breathing is an automatic process/can occur without conscious intervention/is involuntary/ autonomic;
b. voluntary/conscious factors can override automatic functions (for a limited time);
c. control of the breathing comes from the respiratory centre;
d. (respiratory centre) located in the medulla of the brain;
e. exercise results in higher CO2 levels in blood;
f. breathing rate changes in response changes to blood pH/acidity/CO2 level;
g. medulla contains chemoreceptors/chemoreptors in aortic/carotid bodies send signals to medulla;
h. respiratory centre/medulla sends nerve impulses to diaphragm/intercostal muscles;
i. stimulates (the intercostal muscles/diaphragm) to control breathing rate/depth of inspiration/contraction;
Sample answer:
Breathing is an automatic and involuntary process controlled by the brain, allowing ventilation to occur without conscious effort [1]. However, voluntary control can temporarily override the automatic rhythm [1]. The respiratory center is responsible for this regulation [1], located in the medulla oblongata of the brainstem [1]. When CO2 levels in the blood increase, such as during exercise [1], CO2 reacts with water to form carbonic acid, lowering blood pH [1]. Chemoreceptors located in the medulla, and the carotid and aortic bodies can detect the rise in CO2 concentration and send impulses to the respiratory center [1]. The respiratory center can then send signal diaphragm and intercostal muscles, resulting in faster and deeper breathing to expel more CO2 and restore normal pH [1].
Question 7
Outline the process of inhalation. [4]
Four of the following:
a. diaphragm contracts / moves downwards/flattens
b. external intercostal muscles contract
c. (muscle contraction) moves the rib cage upwards and outwards
d. increases volume of the thorax / lungs
e. difference in pressure/decreasing pressure causes air to flow into lungs / lungs inflate
Sample answer:
During inhalation, the diaphragm contracts and moves downwards, flattening to increase the thoracic cavity [1]. At the same time, the external intercostal muscles contract [1], pulling the rib cage upwards and outwards [1]. These actions increase the volume of the thorax [1]. As a result, air flows into the lungs from the outside due to the pressure difference, causing the lungs to inflate [1].
Question 8
Explain how gases are exchanged between the air in the alveolus and the blood in the capillaries. [3]
Three of the following:
a. O2 concentration in alveolar air greater than in capillary/blood/hemoglobin in blood binds oxygen maintaining the concentration gradient
b. O2 gas dissolves in water lining the alveolus
c. O2 diffuses through wall of alveolus and capillary into blood
d. CO2 concentration in blood greater than in alveolar air
e. CO2 diffuses through wall of capillary and alveolus into alveolar airspace
Sample answer:
Oxygen concentration in the alveolar air is higher than in the blood of the surrounding capillaries, so oxygen diffuses down its concentration gradient [1]. Oxygen dissolves in water lining the alveolus [1] and then diffuses through the alveolar and capillary walls into the blood, where it binds to hemoglobin in red blood cells [1]. The carbon dioxide concentration is higher in the blood than in the alveolar air [1], so carbon dioxide diffuses through wall of capillary and alveolus into alveolar airspace [1].
Question 9
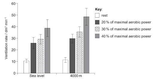
A study was conducted on `25`healthy, non-smoking males to look at the effect of exercise and altitude on ventilation rate. Subjects were first asked to rest in a sitting position for six minutes. They then pedaled for three periods of six minutes at increasing exercise intensity: at `20%`, `30%` and `40%` of their maximal aerobic power. The entire study was conducted either in normal sea level oxygen conditions or in lower oxygen conditions simulating an altitude of `4000` m. The results are shown in the bar chart.

[Source: E Hermand, et al., (2015), Periodic breathing in healthy humans at exercise in hypoxia, Journal of Applied Physiology, 118, pages 115–123. https://doi.org/10.1152/japplphysiol.00832.2014]
Compare and contrast the effect of increasing exercise intensity at sea level and at an altitude of `4000` m. [2]
All of the following:
a. in both sea level and `4000`m ventilation rate while exercising at all intensities is more than at rest/both sea level and `4000`m show an increase in ventilation rate as exercise intensity increased
b. ventilation rate at `4000`m slightly higher than at sea level for all conditions/higher ventilation rate at `4000`m not significantly different as error bars overlap
Sample answer:
At both sea level and `4000` m, the ventilation rate increases as exercise intensity rises, and it is much higher during exercise than at rest [1]. However, the ventilation rate at `4000` m is slightly higher than at sea level at all exercise intensities, though the difference is not significant because the error bars overlap [1].
Question 10
Explain how ventilation and lung structure contribute to passive gas exchange. [7]
Seven of the following:
Sample answer:
During ventilation, air is drawn through the trachea, bronchi, and bronchioles into the alveoli [1]. The alveoli provide a large surface area and have very thin walls to allow efficient gas diffusion [1]. Gas exchange occurs across type I pneumocytes, which form the thin surface of the alveolar wall [1]. Type II pneumocytes secrete surfactant, which reduces surface tension and prevents alveolar collapse [1]. This moist surface helps oxygen and carbon dioxide to dissolve, allowing diffusion between the air and the blood [1]. Ventilation maintains a concentration gradient for both oxygen and carbon dioxide between alveolar air and capillary blood [1]. There is a difference in gas concentration between alveolar air and blood in adjacent capillaries, allowing oxygen to diffuse into the blood and carbon dioxide to diffuse out [1]. During inspiration, the diaphragm and external intercostal muscles contract [1], increasing thoracic volume and lowering lung pressure so air enters [1]. When the external intercostal muscles and diaphragm relax, expiration occurs passively as air leaves the lungs [1]. During forced expiration, the internal intercostal and abdominal muscles contract [1], decreasing thoracic volume and increasing air pressure in the lungs [1].
Question 1
The apparatus is set up to measure the rate of transpiration. As transpiration occurs from the leafy shoot, water is drawn through the apparatus and is measured by timing the movement of the air bubble along the capillary tube.

Which variable(s) must be controlled if transpiration rates are compared in different plant species?
I. Total leaf surface area
II.Volume of water in the reservoir
III. Room temperature
A. I only
B. III only
C. I and III only
D. I, II and III
Question 2
Which is an adaptation to increase rates of gas exchange in the lung?
A. Small surface area
B. Dry surface
C. High vascularization
D. Muscular alveoli
Question 3
Pressure changes inside the thorax cause the movement of air in and out of the lung alveoli during ventilation. Alveolar pressure correlates to thoracic pressure. The diagram shows pressure changes in lung alveoli during ventilation in relation to normal atmospheric pressure. What causes forced movement of air out of the lungs at T?

| A. | external intercostal muscles contract | diaphragm relaxes |
| B. | internal intercostal muscles contract | abdominal muscles contract |
| C. | internal intercostal muscles contract | diaphragm contracts |
| D. | external intercostal muscles relax | abdominal muscles relax |
Question 4
What occurs during inhalation?
| External intercostal muscles | Movement of ribs | |
| A. | relax | fall |
| B. | contract | fall |
| C. | relax | rise |
| D. | contract | rise |
Question 5
Which graph represents the effect of humidity on the transpiration rate in plants?

Question 6
Explain how breathing is controlled by the brain. [6]
Question 7
Outline the process of inhalation. [4]
Question 8
Explain how gases are exchanged between the air in the alveolus and the blood in the capillaries. [3]
Question 9
A study was conducted on `25`healthy, non-smoking males to look at the effect of exercise and altitude on ventilation rate. Subjects were first asked to rest in a sitting position for six minutes. They then pedaled for three periods of six minutes at increasing exercise intensity: at `20%`, `30%` and `40%` of their maximal aerobic power. The entire study was conducted either in normal sea level oxygen conditions or in lower oxygen conditions simulating an altitude of `4000` m. The results are shown in the bar chart.

[Source: E Hermand, et al., (2015), Periodic breathing in healthy humans at exercise in hypoxia, Journal of Applied Physiology, 118, pages 115–123. https://doi.org/10.1152/japplphysiol.00832.2014]
Compare and contrast the effect of increasing exercise intensity at sea level and at an altitude of `4000` m. [2]
Question 10
Explain how ventilation and lung structure contribute to passive gas exchange. [7]