Question 1
How can a chi-squared test be used in ecological research?
A. To test the effect of an abiotic factor on one plant species
B. To test whether two species tend to live together
C. To test whether one population of plants is taller than another
D. To test whether one species is more tolerant to heavy metals than another
Easy
Mark as Complete
Mark Scheme
Question 2
Over time, the hull of a sunken ship may become colonized by a wide range of marine organisms. What term is used to describe all of the organisms living in and on a sunken ship?
A. A community
B. An ecological niche
C. A population
D. An ecosystem
Easy
Mark as Complete
Mark Scheme
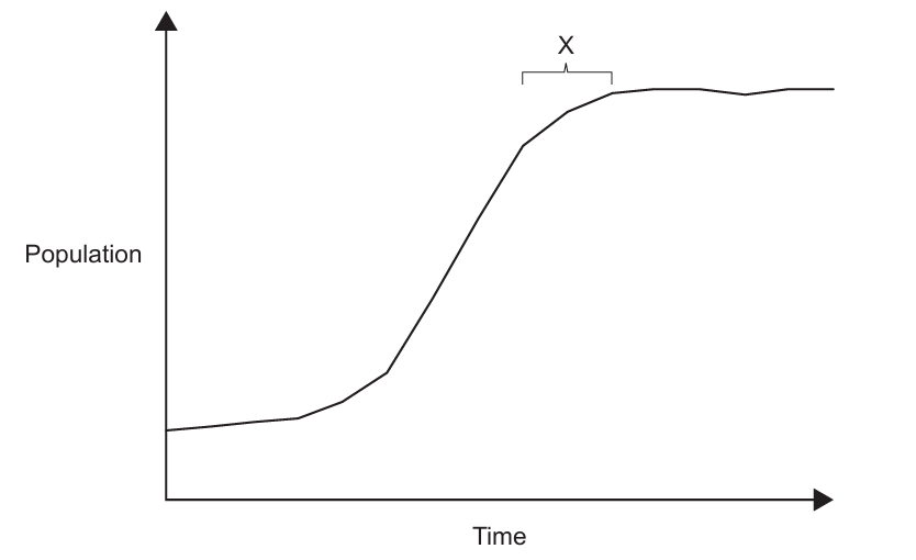
Question 3
The graph shows a population growth curve.

What factor could cause the part of the graph indicated by X?
A. Increased food supply
B. Increased disease
C. Reduced predation
D. Reduced
Easy
Mark as Complete
Mark Scheme
Question 4
A capture–mark–release–recapture experiment was used, together with the Lincoln index formula (population size estimate `= M × N/R`), to estimate the population size of common periwinkles (Littorina littorea) on a rocky shore. The table shows the data collected.

| Individuals captured and marked initially | 100 |
| Individuals recaptured | 50 |
| Marked individuals recaptured | 10 |
What is the estimated size of the population?
A. 160
B. 500
C. 1000
D. 5000
Easy
Mark as Complete
Mark Scheme
Question 5
How are the individuals in an ecological community related to each other?
A. They all belong to the same species.
B. They all belong to the same trophic level.
C. They belong to different populations.
D. They belong to populations composed of many species.
Easy
Mark as Complete
Mark Scheme
Question 6
In 1789 Gilbert White, a naturalist, observed eight breeding pairs of swifts (Apus apus) in the English village of Selborne. On average, each pair of swifts produces two offspring per year. This would allow the population to rise to 1030 swifts over 200 years. A bird survey carried out in 1983 revealed only 12 breeding pairs in this village.
What could have prevented the numbers rising to 1030?
I. The number of nesting sites remained the same.
II. The food supply of the swifts remained constant.
III. Predatory birds in the area were exterminated.
A. I only
B. I and II only
C. II and III only
D. I, II and III only
Easy
Mark as Complete
Mark Scheme
Question 7
In a rock pool a student observes four different species of animal. She sees 43 flat periwinkles (Littorina littoralis), ten rough periwinkles (Littorina saxatilis), three shore crabs (Carcinus maenas) and one common goby (Pomatoschistus microps).
How many populations and communities did she see in the pool?
| Populations | Communities | |
| A. | 1 | 4 |
| B. | 2 | 3 |
| C. | 3 | 2 |
| D. | 4 | 1 |
Easy
Mark as Complete
Mark Scheme
Question 8
What indicates overall population change?
A. (natality + immigration) − (mortality + emigration)
B. (mortality + immigration) − (natality + emigration)
C. (natality − immigration) + (mortality + emigration)
D. (mortality + emigration) + (natality − emigration)
Easy
Mark as Complete
Mark Scheme
Question 9
(a) State the immediate consequence of a species producing more offspring than the environment can support. [1]
(b) Explain the consequence of overpopulation on the survival and reproduction of better adapted individuals within a population. [3]
Medium
Mark as Complete
Mark Scheme
Question 10
In communities next to Mount Saint Helens, there is a relationship between the red squirrel (Tamiasciurus hudsonicus) and the Sitka spruce tree (Picea sitchensis). The main food source of the squirrel is the seeds found in the cones produced by the spruce trees. The squirrel buries the cones but does not always find them again to eat the seeds.
Describe how the squirrel and the spruce tree benefit from the interactions between them. [2]
Medium
Mark as Complete
Mark Scheme
Question 1
How can a chi-squared test be used in ecological research?
A. To test the effect of an abiotic factor on one plant species
B. To test whether two species tend to live together
C. To test whether one population of plants is taller than another
D. To test whether one species is more tolerant to heavy metals than another
Answer: B
A. Incorrect: This would involve correlation or regression analysis (e.g., temperature vs. plant abundance). Chi-squared cannot test relationships between a quantitative abiotic factor and species performance.
B. Correct: A chi-squared (χ²) test is a statistical test used to compare observed frequencies with expected frequencies. In ecology, it is commonly used to determine whether two species are associated - that is, whether they occur together more or less often than expected by chance. For example, if researchers record how often two plant species are found together in sample quadrats, the chi-squared test can show if there is a significant association (positive or negative) between them. A positive association means the species tend to live together (possibly mutualism or similar habitat needs). A negative association means they tend to avoid each other (competition or different habitat preferences). Thus, the chi-squared test is ideal for analyzing species association and distribution patterns in ecology.
C. Incorrect: This involves comparing means of continuous data (plant height). The correct test would be a t-test or ANOVA, not a chi-squared test (which uses frequency data).
D. Incorrect: This also requires comparing quantitative measurements (like growth rate or survival rate under metal exposure). Chi-squared is not suitable here; again, t-tests or ANOVA would be appropriate.
Question 2
Over time, the hull of a sunken ship may become colonized by a wide range of marine organisms. What term is used to describe all of the organisms living in and on a sunken ship?
A. A community
B. An ecological niche
C. A population
D. An ecosystem
Answer: A
A. Correct: A community is defined as a group of different species living in an area. In this case, the sunken ship serves as a habitat that becomes colonized by a wide range of marine organisms - such as algae, corals, barnacles, fish, and bacteria. These organisms represent different species that live in and on the ship and form a biological community. Thus, the correct term to describe all the organisms living in and on the sunken ship is a community.
B. Incorrect: A niche describes the role or function of a species in its environment - including how it obtains food, interacts with others, and contributes to energy flow. It refers to the way of life of one species, not a group of species. Therefore, a niche cannot describe all organisms together.
C. Incorrect: A population consists of individuals of the same species living in the same area. Since the question refers to a wide range of different marine organisms (many species), this is more than one population, so it cannot be described as a single population.
D. Incorrect: An ecosystem includes both the living (biotic) community and the non-living (abiotic) components, such as water, minerals, temperature, and light. The question only mentions all the organisms (biotic part), not the physical environment. Therefore, the correct term is community, not ecosystem.
Question 3
The graph shows a population growth curve.

What factor could cause the part of the graph indicated by X?
A. Increased food supply
B. Increased disease
C. Reduced predation
D. Reduced
Answer: B
A. Incorrect: An increase in food would support more individuals, leading to continued population growth, not stabilization. Therefore, this would cause the curve to rise further, not level off.
B. Correct: In the graph, X shows where the population growth levels off, meaning the population size stops increasing and reaches a stable state — also known as the carrying capacity. This occurs when limiting factors (such as food shortage, lack of space, competition, or disease) balance the birth and death rates. Increased disease is a density-dependent limiting factor that becomes more significant as the population grows. When individuals live closer together, diseases spread more easily, leading to higher death rates and lower population growth, causing the population to stabilize or stop increasing - as shown in X.
C. Incorrect: If there were fewer predators, more individuals would survive, also leading to further growth rather than stabilization. This would cause the population to increase beyond X, not stay constant.
D. Incorrect: Less competition for resources would also allow more individuals to survive and reproduce, increasing the population size. The curve would continue rising instead of flattening at X.
Question 4
A capture–mark–release–recapture experiment was used, together with the Lincoln index formula (population size estimate `= M × N/R`), to estimate the population size of common periwinkles (Littorina littorea) on a rocky shore. The table shows the data collected.

| Individuals captured and marked initially | 100 |
| Individuals recaptured | 50 |
| Marked individuals recaptured | 10 |
What is the estimated size of the population?
A. 160
B. 500
C. 1000
D. 5000
Answer: B
The population is estimated using the Lincoln index formula:
`"Population size"= (M × N)/R`
`"M = number of animals captured (marked and released)" = 100`
`"N = number of animals recaptured" = 50`
`"R = number of marked animals recaptured" = 10`
Substitute into the formula:
`"Population size"= (100 × 50)/10 = 500`
So, the estimated population size is 500.
A, C, and D. Incorrect.
Question 5
How are the individuals in an ecological community related to each other?
A. They all belong to the same species.
B. They all belong to the same trophic level.
C. They belong to different populations.
D. They belong to populations composed of many species.
Answer: C
A. Incorrect: This describes a population, not a community. A population is made up of individuals of one species, while a community includes many species.
B. Incorrect: Organisms in a community occupy different trophic levels (producers, consumers, decomposers). Having various trophic levels allows energy flow and nutrient cycling - essential features of a community.
C. Correct: An ecological community consists of all the populations of different species living and interacting in the same area. Each population is made up of individuals of one species, but together, these populations form a community. Therefore, individuals in a community are related because they belong to different populations that coexist and interact (for example, predator-prey or symbiotic relationships).
D. Incorrect: A population cannot contain many species - it is defined as individuals of a single species in a given area. Communities are made of many populations, not the other way around.
Question 6
In 1789 Gilbert White, a naturalist, observed eight breeding pairs of swifts (Apus apus) in the English village of Selborne. On average, each pair of swifts produces two offspring per year. This would allow the population to rise to 1030 swifts over 200 years. A bird survey carried out in 1983 revealed only 12 breeding pairs in this village.
What could have prevented the numbers rising to 1030?
I. The number of nesting sites remained the same.
II. The food supply of the swifts remained constant.
III. Predatory birds in the area were exterminated.
A. I only
B. I and II only
C. II and III only
D. I, II and III only
Answer: B
A. Incorrect: While limited nesting sites would restrict growth, food availability is also essential. Without enough food, offspring survival and breeding success would decline. So I alone cannot fully explain the limited population growth.
B. Correct: Both I (the number of nesting sites remained the same) and II (the food supply of the swifts remained constant) describe limiting factors that would prevent exponential population growth. If the number of nesting sites does not increase, only a limited number of breeding pairs can reproduce successfully. Similarly, if the food supply remains constant, it cannot support a much larger population, leading to competition and limiting population size. These two factors would stop the swift population from reaching 1030 individuals, even though their reproductive potential allows it.
C. Incorrect: Although constant food supply (II) limits population growth, III is incorrect because exterminating predatory birds would increase, not decrease, the swift population. Fewer predators would allow more swifts to survive, not fewer.
D. Incorrect: Including III makes this option incorrect because predator removal would not prevent growth - it would have the opposite effect.
Question 7
In a rock pool a student observes four different species of animal. She sees 43 flat periwinkles (Littorina littoralis), ten rough periwinkles (Littorina saxatilis), three shore crabs (Carcinus maenas) and one common goby (Pomatoschistus microps).
How many populations and communities did she see in the pool?
| Populations | Communities | |
| A. | 1 | 4 |
| B. | 2 | 3 |
| C. | 3 | 2 |
| D. | 4 | 1 |
Answer: D
A. Incorrect: This reverses the definitions - there can’t be multiple communities within one small pool if all organisms are interacting in the same habitat.
B. Incorrect: There are clearly four species, so only counting two populations is incorrect. Also, a single area (the rock pool) can have only one community that includes all species.
C. Incorrect: There are four species, not three, and only one community in a single habitat.
D. Correct: A population is defined as all members of one species living in a specific area, while a community consists of all the populations of different species living together in the same habitat. In the rock pool, there are four different species: flat periwinkles (Littorina littoralis), rough periwinkles (Littorina saxatilis), shore crabs (Carcinus maenas), and common goby (Pomatoschistus microps). Each species represents one population, so there are four populations in total. All four species together form one community - the living organisms interacting in the rock pool ecosystem.
Question 8
What indicates overall population change?
A. (natality + immigration) − (mortality + emigration)
B. (mortality + immigration) − (natality + emigration)
C. (natality − immigration) + (mortality + emigration)
D. (mortality + emigration) + (natality − emigration)
Answer: A
A. Correct: Population size changes depending on how many individuals are added or removed from it. Natality (birth rate) increases the population because new individuals are born. Immigration increases the population because new individuals move into the area. Mortality (death rate) decreases the population because individuals die. Emigration decreases the population because individuals move out of the area. Therefore, the overall population change is calculated by: population change = (natality + immigration) − (mortality + emigration). This formula correctly shows the balance between the inputs (births and immigration) and the losses (deaths and emigration).
B. Incorrect: This mixes up the terms - it adds mortality (which decreases population) and subtracts natality (which increases it), leading to the opposite of real population trends.
C. Incorrect: Here, immigration is incorrectly subtracted, and mortality is added. This gives no logical measure of overall change because both birth and death factors are not balanced correctly.
D. Incorrect: This formula repeats emigration and adds all factors rather than comparing gains and losses, so it doesn’t reflect population increase or decrease accurately.
Question 9
(a) State the immediate consequence of a species producing more offspring than the environment can support. [1]
(b) Explain the consequence of overpopulation on the survival and reproduction of better adapted individuals within a population. [3]
(a) Any of the following:
competition/lack of resources/death/exceeding carrying capacity.
Sample answer:
When a species produces more offspring than the environment can support, the immediate consequence is competition for limited resources such as food, water, and space [1].
(b) Any three of the following:
a. «better adapted» tend to survive more;
b. «better adapted» reproduce/produce more offspring;
c. pass on characteristics to their offspring «when they reproduce»;
d. their frequency increases «within the population» due to natural selection;
e. leading to evolution;
Sample answer:
When overpopulation occurs, individuals must compete for limited resources. Those that are better adapted to the environment are more likely to survive [1] and reproduce successfully [1]. As a result, they pass on their advantageous characteristics to their offspring [1]. Over time, these favorable traits become more common within the population [1], leading to evolution through natural selection [1].
Question 10
In communities next to Mount Saint Helens, there is a relationship between the red squirrel (Tamiasciurus hudsonicus) and the Sitka spruce tree (Picea sitchensis). The main food source of the squirrel is the seeds found in the cones produced by the spruce trees. The squirrel buries the cones but does not always find them again to eat the seeds.
Describe how the squirrel and the spruce tree benefit from the interactions between them. [2]
Any two of the following:
a. squirrel obtains food;
b. spruce seeds are distributed further from parent tree OR burying seeds helps germination/growth/protects them;
Sample answer:
The squirrel benefits from the interaction because it obtains food by eating the seeds found in the spruce tree’s cones [1]. The spruce tree also benefits because when the squirrel buries the cones and forgets some of them, the seeds are dispersed farther from the parent tree, and the buried seeds are protected and have better conditions for germination and growth [1].
Question 1
How can a chi-squared test be used in ecological research?
A. To test the effect of an abiotic factor on one plant species
B. To test whether two species tend to live together
C. To test whether one population of plants is taller than another
D. To test whether one species is more tolerant to heavy metals than another
Question 2
Over time, the hull of a sunken ship may become colonized by a wide range of marine organisms. What term is used to describe all of the organisms living in and on a sunken ship?
A. A community
B. An ecological niche
C. A population
D. An ecosystem
Question 3
The graph shows a population growth curve.

What factor could cause the part of the graph indicated by X?
A. Increased food supply
B. Increased disease
C. Reduced predation
D. Reduced
Question 4
A capture–mark–release–recapture experiment was used, together with the Lincoln index formula (population size estimate `= M × N/R`), to estimate the population size of common periwinkles (Littorina littorea) on a rocky shore. The table shows the data collected.

| Individuals captured and marked initially | 100 |
| Individuals recaptured | 50 |
| Marked individuals recaptured | 10 |
What is the estimated size of the population?
A. 160
B. 500
C. 1000
D. 5000
Question 5
How are the individuals in an ecological community related to each other?
A. They all belong to the same species.
B. They all belong to the same trophic level.
C. They belong to different populations.
D. They belong to populations composed of many species.
Question 6
In 1789 Gilbert White, a naturalist, observed eight breeding pairs of swifts (Apus apus) in the English village of Selborne. On average, each pair of swifts produces two offspring per year. This would allow the population to rise to 1030 swifts over 200 years. A bird survey carried out in 1983 revealed only 12 breeding pairs in this village.
What could have prevented the numbers rising to 1030?
I. The number of nesting sites remained the same.
II. The food supply of the swifts remained constant.
III. Predatory birds in the area were exterminated.
A. I only
B. I and II only
C. II and III only
D. I, II and III only
Question 7
In a rock pool a student observes four different species of animal. She sees 43 flat periwinkles (Littorina littoralis), ten rough periwinkles (Littorina saxatilis), three shore crabs (Carcinus maenas) and one common goby (Pomatoschistus microps).
How many populations and communities did she see in the pool?
| Populations | Communities | |
| A. | 1 | 4 |
| B. | 2 | 3 |
| C. | 3 | 2 |
| D. | 4 | 1 |
Question 8
What indicates overall population change?
A. (natality + immigration) − (mortality + emigration)
B. (mortality + immigration) − (natality + emigration)
C. (natality − immigration) + (mortality + emigration)
D. (mortality + emigration) + (natality − emigration)
Question 9
(a) State the immediate consequence of a species producing more offspring than the environment can support. [1]
(b) Explain the consequence of overpopulation on the survival and reproduction of better adapted individuals within a population. [3]
Question 10
In communities next to Mount Saint Helens, there is a relationship between the red squirrel (Tamiasciurus hudsonicus) and the Sitka spruce tree (Picea sitchensis). The main food source of the squirrel is the seeds found in the cones produced by the spruce trees. The squirrel buries the cones but does not always find them again to eat the seeds.
Describe how the squirrel and the spruce tree benefit from the interactions between them. [2]